Math Caching Answers Algebra 1 Box 2 Big Ideas Math Algebra 1 Answers Chapter 11 Data Analysis And Displays
Mathcaching box game. Mathbits algebra 1 caching answers box 2. Big ideas math algebra 1 answers chapter 11 data analysis and displays
math caching answers algebra 1 box 2
Download PDF
If you are {looking for|searching about} MathCaching Box Game - Level Algebra 1 you've {came|visit} to the right {place|web|page}. We have 16 {Pics|Pictures|Images} about MathCaching Box Game - Level Algebra 1 like College Algebra, MathCaching Box Game - Level Algebra 1 and also Big Ideas Math Algebra 1 Answers Chapter 11 Data Analysis and Displays. {Read more|Here you go|Here it is}:
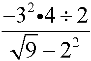
Algebra exam


Math advanced answers questions. Mathbits caching algebra backdate. Behavior math end polynomial polynomials functions algebra graphing graphs maths test chart worksheet sheet needed soon finding roots pre college. Algebra mathbits caching box level simplify
Algebra
College Algebra
Advanced Math Archive | May 8, 2013 | Chegg.com
Pin on Math
MathCaching Box Game - Level Algebra 1

Tidak ada komentar:
Posting Komentar